Задать свой вопрос   *более 50 000 пользователей получили ответ на «Решим всё»

Задача 9451 1) Решить неравенство log(1/5)(9-x)...

Условие

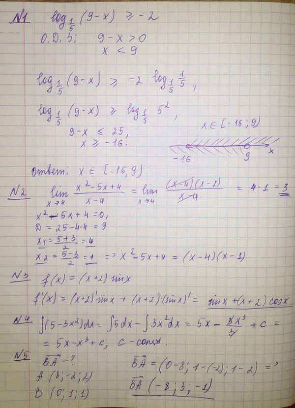
1) Решить неравенство log(1/5)(9-x) больше или равно -2

2) Вычислить предел lim(x->4) (x^2-5x+4)/(x-4)

3) Найдите производную функции f(x) = (x+2)sinx

4) Найдите неопределенный интеграл (5-3x^2)dx

5) Вычислить координаты вектора BA, если A(8;-2;2) и B(0;1;1)

математика 10-11 класс 3850

Решение

Написать комментарий

Меню

Присоединяйся в ВК