Задать свой вопрос
*более 50 000 пользователей получили ответ на «Решим всё»
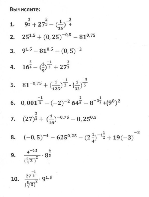
Задача 9432
Вычислите 9^(3/2)+27^(2/3)-(1/16)^(-3/4)...
Условие
Zubishka5
13.06.2016
Вычислите 9^(3/2)+27^(2/3)-(1/16)^(-3/4)
математика 10-11 класс
18577
Решение
PolinaShevlyakova
13.06.2016
★
Написать комментарий
Меню
Решим всё
Найти задачу
Категории
Статьи
Тесты
Архив задач
Присоединяйся в ВК