Задать свой вопрос   *более 50 000 пользователей получили ответ на «Решим всё»

Задача 9421 найти tg a, если sin a= 5 делить на...

Условие

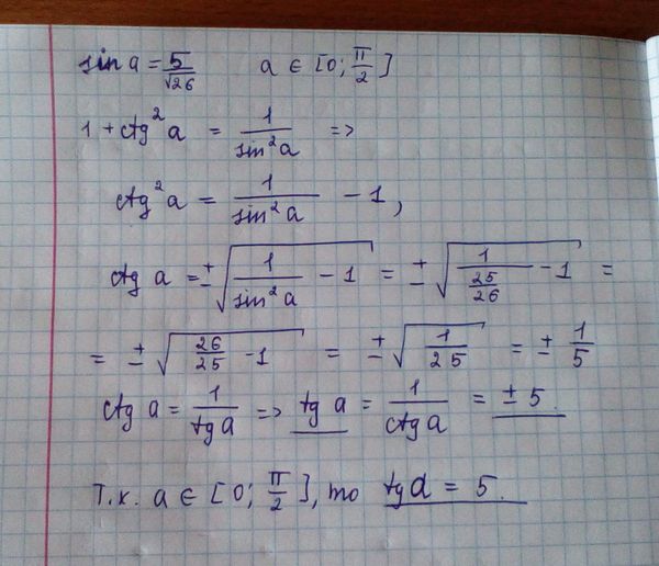
найти tg a, если sin a= 5 делить на корень из 26 , и а принадлежит (0, п/2)

математика 10-11 класс 30609

Решение

Все решения

sin²α +cos²α =1;
угол α в первой четверти, косинус в первой четверти имеет знак +, поэтому
cosα =+√(1-sin²α)=+√(1-(25/26))=1/(√26);
tgα=sinα/cosα=5/(√26):1/(√26)=5

Написать комментарий

Меню

Присоединяйся в ВК