Задать свой вопрос   *более 50 000 пользователей получили ответ на «Решим всё»

Задача 9420 найдите наименьшее значение функции...

Условие

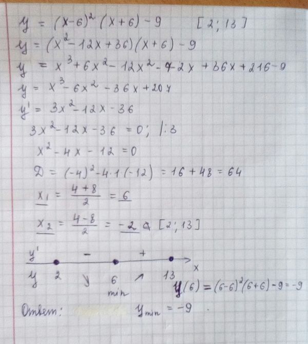
найдите наименьшее значение функции y=(x-6)^2*(x+6)-9. на отрезке [2;13]

математика 10-11 класс 13238

Решение

Все решения

y`=(x-6)^(2))`(x+6)+(x-6)^(2)(x+6)`-(9)`=2(x-6)(x+6)+(x-6)^(2)=(x-6)(2x+12+x-6)=(x-6)(3x+6);
y`=0;
(x-6)(3x+6)=0;
x=6 x=-2
6∈[2;13]

[2]__-__(6)__+__[13];

x=6 - точка минимума, так как производная меняет знак с - на +.
y(6)=0-9=-9
О т в е т. наименьшее значение функции на отрезке [2;13] равно -9.

Написать комментарий

Меню

Присоединяйся в ВК