Задать свой вопрос   *более 50 000 пользователей получили ответ на «Решим всё»

Задача 9417 Решить неравенство...

Условие

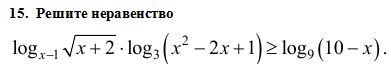
Решить неравенство log(x-1)sqrt(x+2)*log3(x^2-2x+1) больше или равно log9(10-x)

математика 10-11 класс 9042

Решение

ОДЗ:
х-1 >0 ⇒ x>1 ;
x-1≠1 ⇒ x≠2;
x²-2x+1>0 ⇒ x≠1;
10-x >0 ≠ x <10.
x∈ (1;2)U(2;10)

Написать комментарий

Меню

Присоединяйся в ВК