Задать свой вопрос
*более 50 000 пользователей получили ответ на «Решим всё»
Задача 9413
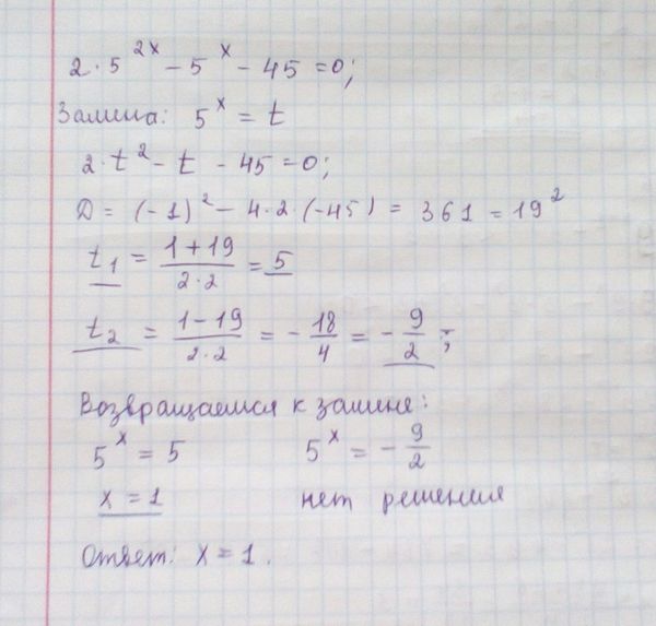
Решите уравнение: 2*5^(2x)-5^x-45=0...
Условие
alena0046
08.06.2016
Решите уравнение: 2*5^(2x)-5^x-45=0
математика 10-11 класс
3454
Решение
PolinaShevlyakova
08.06.2016
★
Если вы имели ввиду 2*5^(2х)
Написать комментарий
Меню
Решим всё
Найти задачу
Категории
Статьи
Тесты
Архив задач
Присоединяйся в ВК