Задать свой вопрос
*более 50 000 пользователей получили ответ на «Решим всё»
Задача 9410
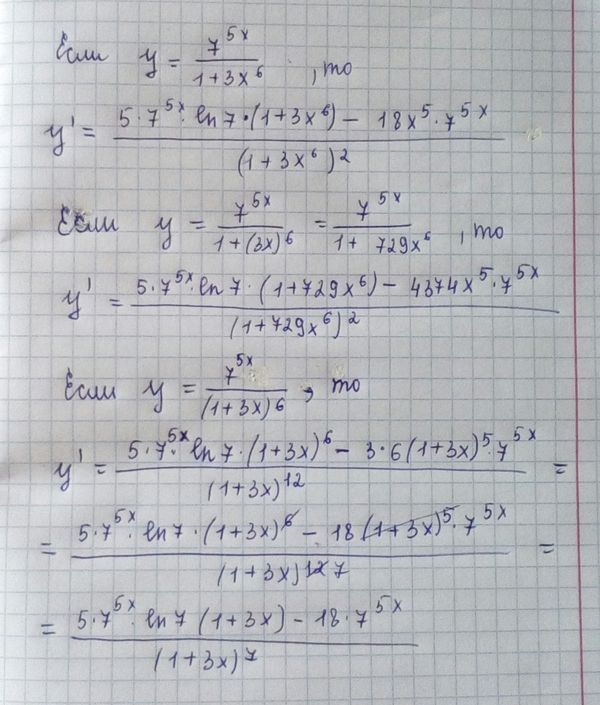
Найти производную первого порядка у=7 в...
Условие
YanaTretyakova
08.06.2016
Найти производную первого порядка у=7 в 5х степени / 1+3х в 6 степени
математика 8-9 класс
2322
Решение
PolinaShevlyakova
08.06.2016
★
Написать комментарий
Меню
Решим всё
Найти задачу
Категории
Статьи
Тесты
Архив задач
Присоединяйся в ВК