Задать свой вопрос   *более 50 000 пользователей получили ответ на «Решим всё»

Задача 9404 system{log(1/3)(x-4)/(x+4) -...

Условие

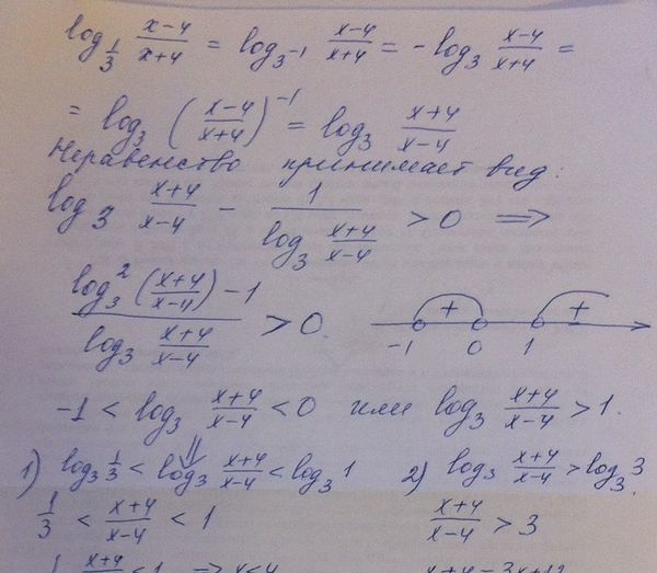
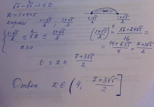
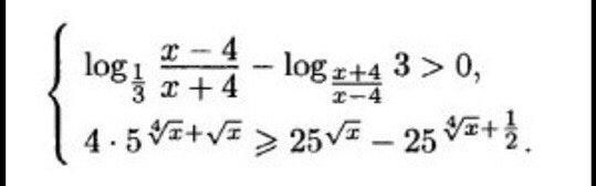
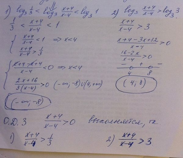
system{log(1/3)(x-4)/(x+4) - log((x+4)/(x-4))3 больше 0; 4*5^(корень_4ой_степени(x)+sqrt(x)) больше или равно 25^(sqrt(x)) - 25^(корень_4ой_степени(x)+1/2)}

математика 10-11 класс 5017

Решение

Написать комментарий

Меню

Присоединяйся в ВК