Задать свой вопрос   *более 50 000 пользователей получили ответ на «Решим всё»

Задача 9379 Решить систему неравенств...

Условие

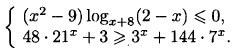
Решить систему неравенств system{(x^2-9)log(x+8)(2-x) меньше или равно 0; 48*21^x + 3 больше или равно 3^x + 144*7^x}

математика 10-11 класс 3405

Решение

Все решения

Написать комментарий

Меню

Присоединяйся в ВК