Задать свой вопрос
*более 50 000 пользователей получили ответ на «Решим всё»
Задача 9338
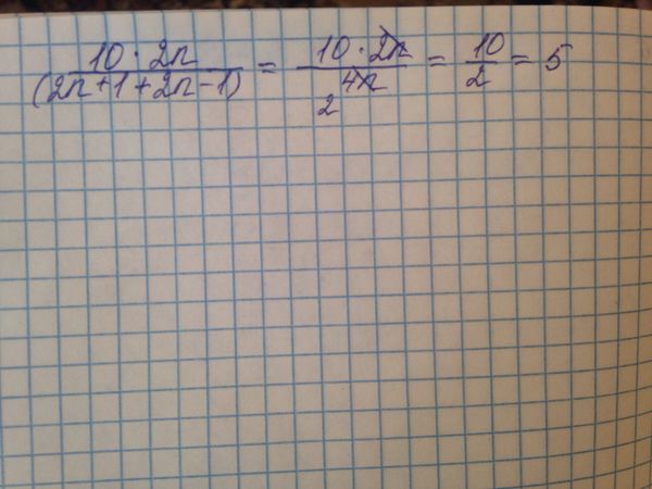
Сократите дробь 10·2n/(2n+1 + 2n–1)...
Условие
DaryaSidneva
30.05.2016
Сократите дробь 10·2n/(2n+1 + 2n–1)
математика 8-9 класс
2316
Решение
SOVA
30.05.2016
★
10·2n / (2n+1 + 2n–1) =10·2n / (4n)=5
Все решения
ksenia.maiborod
30.05.2016
10·2n / (2n+1 + 2n–1) =10·2n / (4n)=5
OlyaLarina
31.05.2016
Держи.
Написать комментарий
Меню
Решим всё
Найти задачу
Категории
Статьи
Тесты
Архив задач
Присоединяйся в ВК