Задать свой вопрос   *более 50 000 пользователей получили ответ на «Решим всё»

Задача 9331 Решите уравнение 3sin^2x-5sinx-2=0...

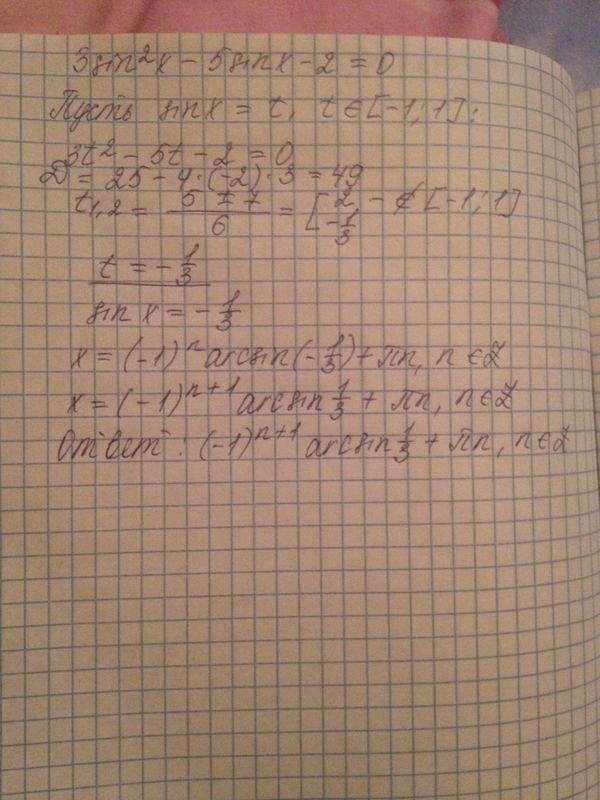
Условие

Решите уравнение 3sin^2x-5sinx-2=0

математика 10-11 класс 56081

Решение

Квадратное уравнение. Замена переменной sinx=t; sin²x=t.
3t²-5t-2=0;
D=(-5)²-4•3•(-2)=25+24=49=7²
t=(5-7)/6=-1/3 или t=(5+7)/6=2
1)sinx=-1/3
x=arcsin(-1/3)+2πk, k∈Z;
x=π-arcsin(-1/3)+2πn, n∈Z;
2) sinx=2 - уравнение не имеет корней
О т в е т.x=-arcsin(1/3)+2πk, k∈Z;
x=π+arcsin(1/3)+2πn, n∈Z.

Вопросы к решению (1)

Все решения

Вопросы к решению (1)

Написать комментарий

Меню

Присоединяйся в ВК