Задать свой вопрос
*более 50 000 пользователей получили ответ на «Решим всё»
Задача 9290
Найдите наибольшее значение функции...
Условие
slava191
23.05.2016
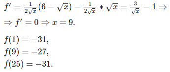
Найдите наибольшее значение функции f(x)=sqrt(x)*(6-sqrt(x))-36 на отрезке [1;25]
математика 10-11 класс
3795
Решение
Ответ:
-27
Написать комментарий
Меню
Решим всё
Найти задачу
Категории
Статьи
Тесты
Архив задач
Присоединяйся в ВК