Задать свой вопрос   *более 50 000 пользователей получили ответ на «Решим всё»

Задача 9263 ...

Условие

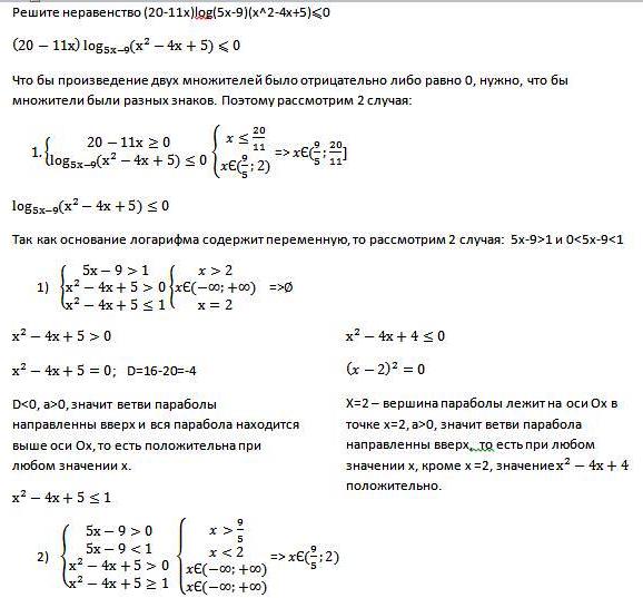
Решите неравенство (20-11х)log(5x-9)(x^2-4x+5)⩽0

математика 10-11 класс 23480

Решение

Представила решение данного неравенства двумя способами.

Ответ: (9/5;20/11]∪(2;+∞)

Вопросы к решению (1)

Написать комментарий

Меню

Присоединяйся в ВК