Задать свой вопрос
*более 50 000 пользователей получили ответ на «Решим всё»
Задача 9244
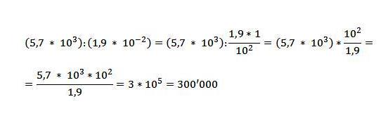
Найдите значение выражения (5,7 *...
Условие
Julia_Trusova
21.05.2016
Найдите значение выражения (5,7 * 10^3):(1,9 * 10^(-2))
математика 10-11 класс
18031
Решение
Ответ:
300000
Написать комментарий
Меню
Решим всё
Найти задачу
Категории
Статьи
Тесты
Архив задач
Присоединяйся в ВК