Задать свой вопрос   *более 50 000 пользователей получили ответ на «Решим всё»

Задача 9234 а) Решите уравнение 8^x-3*4^x-2^x+3=0 б)...

Условие

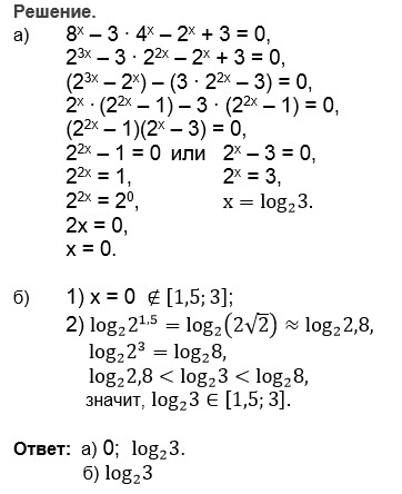
а) Решите уравнение 8^x-3*4^x-2^x+3=0
б) Укажите корни этого уравнения, принадлежащие отрезку [1,5; 3].

математика 10-11 класс 37424

Решение

a)8^x-3*4^x-2^x+3=0
(2^3)^x-3*(2^2)^x-2^x+3=0
2^(3x)-3*2^(2x)-2^x+3=0
2^(2x)(2^x-3)-(2^x-3)=0
(2^x-3)(2^(2x)-1)=0
2^x-3=0 или 2^(2x)-1=0
2^x=3 2^(2x)=1
х=log2(3) x=0

б)log2(3)=1,585
корни этого уравнения, принадлежащие отрезку [1,5; 3] х=log2(3)


Ответ: a)log2(3); 0 б)log2(3)

Вопросы к решению (3)

Все решения

Написать комментарий

Меню

Присоединяйся в ВК