Условие
Решите неравенство 1/(2-log(1-x^2)(4x^2-4x+1)) меньше или равно 1
математика 10-11 класс
7148
Решение
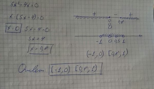
Для того, чтобы данная дробь была меньше либо равна единице, нужно, чтобы знаменатель был больше либо равен единице(так как в числителе стоит единица)


Все решения
Совокупность следует из более простого неравенства: 1/x≤1.

Написать комментарий