Задать свой вопрос   *более 50 000 пользователей получили ответ на «Решим всё»

Задача 9145 Решите уравнение log2(x+1)+log2(x+3)=3...

Условие

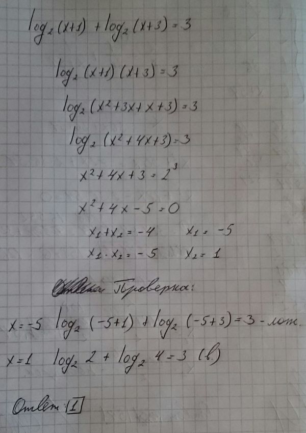
Решите уравнение log2(x+1)+log2(x+3)=3

математика 10-11 класс 24204

Решение

Все решения

ОДЗ: система (х+1>0; x+3>0)
ОДЗ: х ∈(-1;+∞).
По свойствам логарифма заменим сумму логарифмов логарифмом произведения:
log(2)(x+1)(x+3)=3;
по определению логарифма
(х+1)(х+3)=2³;
х²+4х-5=0
D=36
корни 1 и -5
-5∈ОДЗ
Ответ. 1

Написать комментарий

Меню

Присоединяйся в ВК