Задать свой вопрос   *более 50 000 пользователей получили ответ на «Решим всё»

Задача 8938 В электронной таблице значение формулы...

Условие

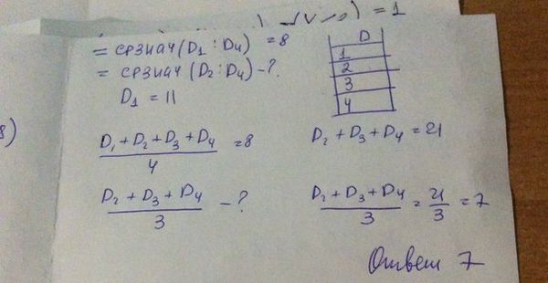
В электронной таблице значение формулы =CP3HA4(D1:D4) равное. Чему равно значение формулы =СРЗНАЧ (D2:D4), если значение ячейки D1 равно 11?

информатика 10-11 класс 3445

Решение



Ответ: 7

Написать комментарий

Меню

Присоединяйся в ВК