Задать свой вопрос   *более 50 000 пользователей получили ответ на «Решим всё»

Задача 8918 Найти точку максимума функции...

Условие

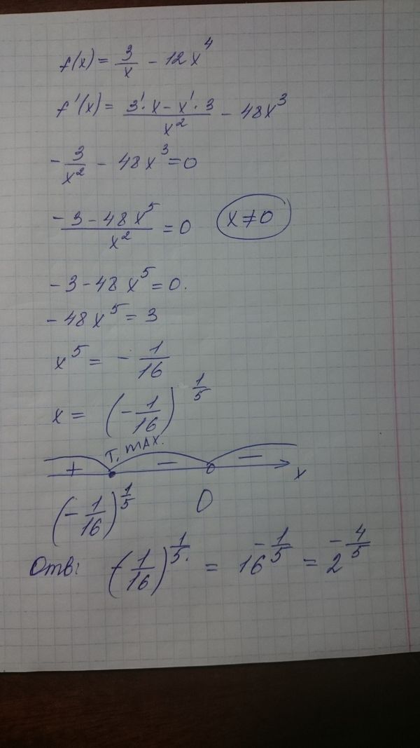
Найти точку максимума функции f(x)=3/x-12xв 4 степени

математика 10-11 класс 1666

Решение

Все решения

у`=(-3/x²)-48x³;
y`=0
-3(1+16x⁵)/x²=0
1+16x⁵=0
x=(-1/16)^(1/5)- точка минимума, при переходе через эту точку производная меняет знак с - на +.

Написать комментарий

Меню

Присоединяйся в ВК