Задать свой вопрос   *более 50 000 пользователей получили ответ на «Решим всё»

Задача 8901 а) Решить уравнение...

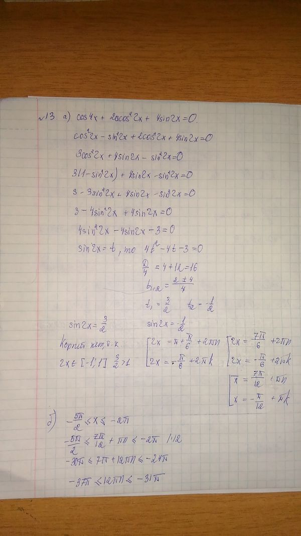
Условие

а) Решить уравнение cos(4x)+2cos^2(2x)+4sin(2x)=0
б) Найти корни этого ур-ия, принадлежащие промежутку [-5Pi/2; -2Pi]

математика 10-11 класс 10031

Решение

решение все в рисунке

Ответ: на рисунке

Вопросы к решению (2)

Написать комментарий

Меню

Присоединяйся в ВК