Задать свой вопрос   *более 50 000 пользователей получили ответ на «Решим всё»

Задача 8845 Решить неравенство...

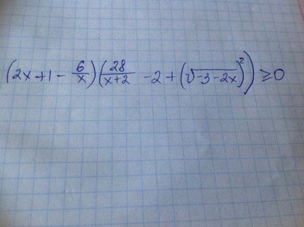
Условие

Решить неравенство (2x+1-6/x)(28/(x+2)-2+(sqrt(-3-2x))^2) больше или равно 0

математика 10-11 класс 10708

Решение

Cм. приложение.
После упрощений неравенство примет вид:
(2х-3)²(x+6)/x≤0.

___+___[-6]__-__(-2)__-__(0)__+___[3/2]___
С учетом ОДЗ получаем ответ
[-6;-2)U(-2;0)U{3/2}

Ошибки в решение (1)

Написать комментарий

Меню

Присоединяйся в ВК