Задать свой вопрос   *более 50 000 пользователей получили ответ на «Решим всё»

Задача 8753 Какова вероятность появления особей с...

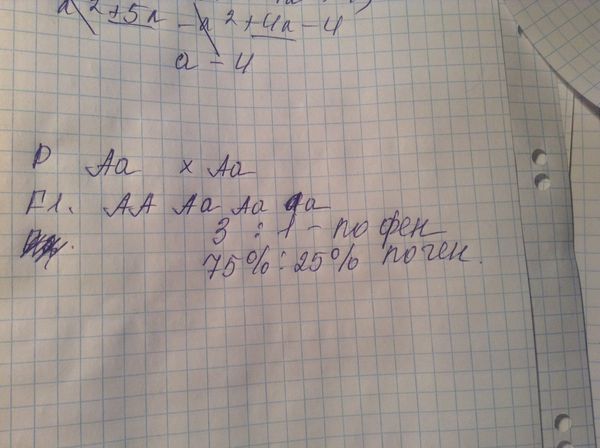
Условие

Какова вероятность появления особей с рецессивным признаком в фенотипе при моногибридном скрещивании гетерозигот?

1) 25%
2) 50%
3) 75%
4) 100%

биология 9157

Решение

ответ 1


Ответ: В решение

Написать комментарий

Меню

Присоединяйся в ВК