Задать свой вопрос
*более 50 000 пользователей получили ответ на «Решим всё»
Задача 8748
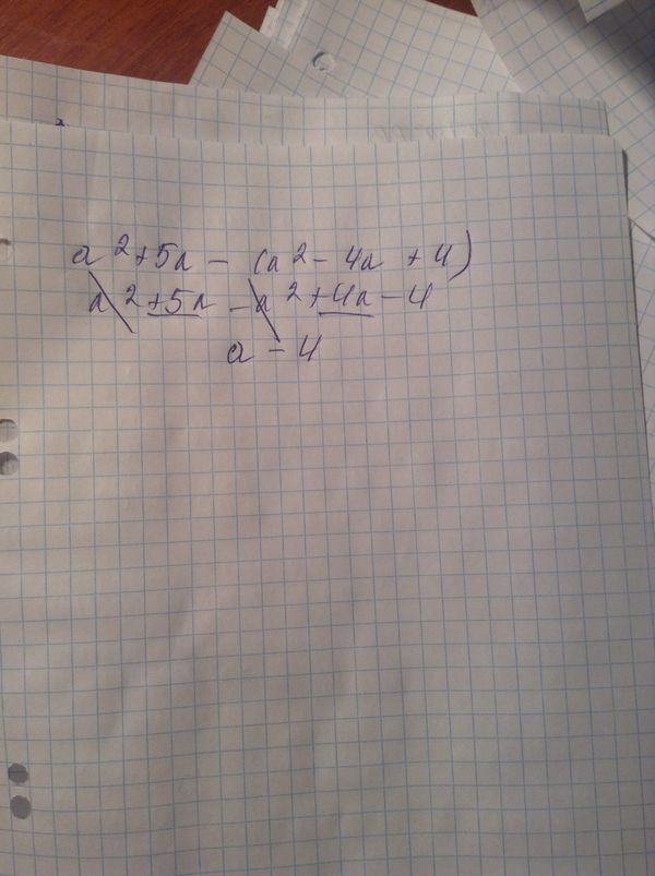
упростите выражение а(а+5)-(а-2)^2...
Условие
Ada
28.04.2016
упростите выражение а(а+5)-(а-2)^2
математика 6-7 класс
2058
Решение
OlyaRusinova
28.04.2016
★
Написать комментарий
Меню
Решим всё
Найти задачу
Категории
Статьи
Тесты
Архив задач
Присоединяйся в ВК