Задать свой вопрос   *более 50 000 пользователей получили ответ на «Решим всё»

Задача 865 Основания трапеции равны a и b. Прямая,...

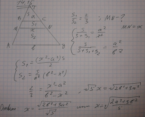
Условие

Основания трапеции равны a и b. Прямая, параллельная основаниям, разбивает трапецию на две трапеции, площади которых относятся как 2:3. Найдите длину отрезка этой прямой, заключенного внутри трапеции.

математика 10-11 класс 8278

Решение



Ответ: в решение

Вопросы к решению (1)

Написать комментарий

Меню

Присоединяйся в ВК