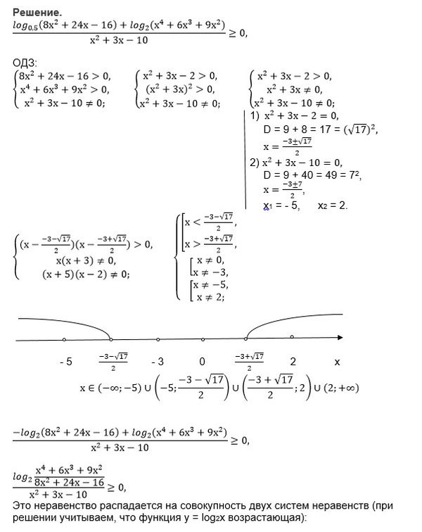
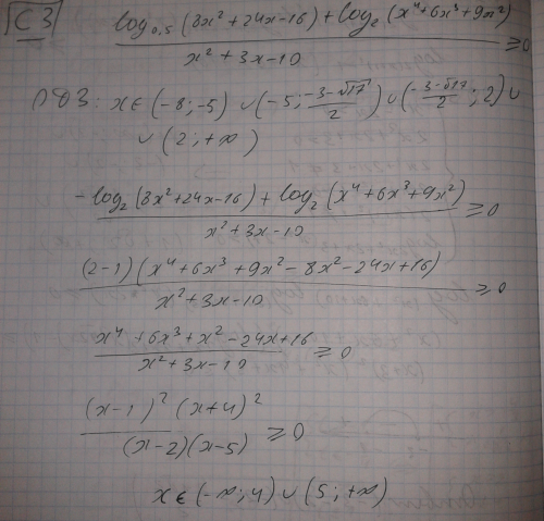
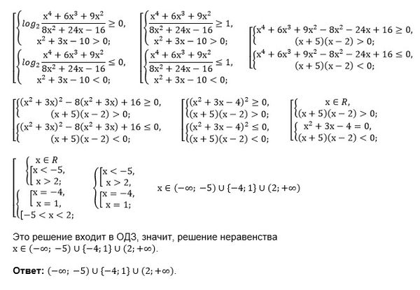
Решить неравенство (log(0,5)(8x^2+24x-16)+log2(x^4+6x^3+9x^2))/(x^2+3x-10) больше или равно 0
Ответ: в решение
Знак неравенства меняется на противоположный, в знаменателе не (х-2)(х-5), а должно быть (х-2)(х+5), получается и ответ неправильный.
В неравенстве не меняется знак на противоположный? Ведь по свойству логарифма: основание логарифма 0,5 < 1 значит знак неравенства меняется на противоположный