Задать свой вопрос
*более 50 000 пользователей получили ответ на «Решим всё»
Задача 8590
...
Условие
DarinaRashevskaya
20.04.2016
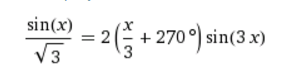
√(3 )sinx/3=2(x/3+270°)sin3x
математика 10-11 класс
1448
Все решения
IvanChebykin
22.04.2016
AlinaHarrasova
23.04.2016
Написать комментарий
Меню
Решим всё
Найти задачу
Категории
Статьи
Тесты
Архив задач
Присоединяйся в ВК