Задать свой вопрос
*более 50 000 пользователей получили ответ на «Решим всё»
Задача 8555
Дано уравнение...
Условие
Lera. Nik
18.04.2016
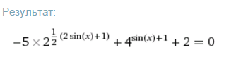
Дано уравнение 4^(1+sinx)-5(sqrt(2))^(1+2sinx)+2=0
математика 10-11 класс
1574
Решение
IvanChebykin
23.04.2016
★
корни промежутка...по графику
Написать комментарий
Меню
Решим всё
Найти задачу
Категории
Статьи
Тесты
Архив задач
Присоединяйся в ВК