Задать свой вопрос   *более 50 000 пользователей получили ответ на «Решим всё»

Задача 8496 ...

Условие

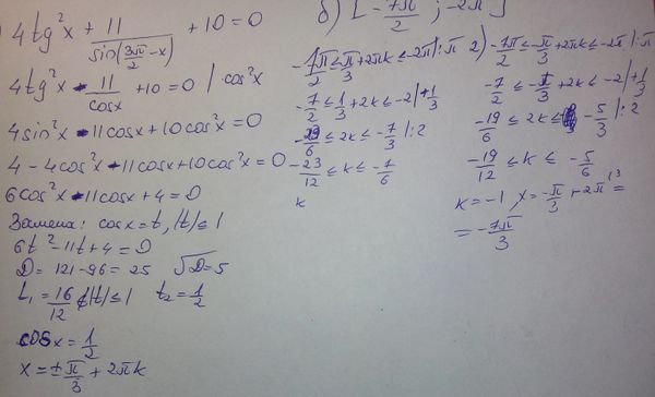
а) Решите уравнение 4tg^2x+11/sin(3π/2-x)+10 = 0.
б) Найдите все корни этого уравнения, принадлежащие отрезку [-7π/2;-2π].

математика 10-11 класс 10482

Решение



Ответ: а) +-π/3+2πk б) -7π/3

Написать комментарий

Меню

Присоединяйся в ВК