Задать свой вопрос   *более 50 000 пользователей получили ответ на «Решим всё»

Задача 8495 ...

Условие

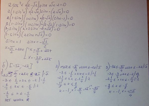
а) Решите уравнение 2cos^2x+(2-sqrt(2))sinx+sqrt(2)-2 = 0.
б) Найдите все корни этого уравнение, принадлежащие промежутку [-3π;-2π].

математика 10-11 класс 17229

Решение



Ответ: а) π/2+2πk, -π/4+2πk, -3π/4+2πk б) -9π/4, -11π/4

Написать комментарий

Меню

Присоединяйся в ВК