Задать свой вопрос   *более 50 000 пользователей получили ответ на «Решим всё»

Задача 8472 ...

Условие

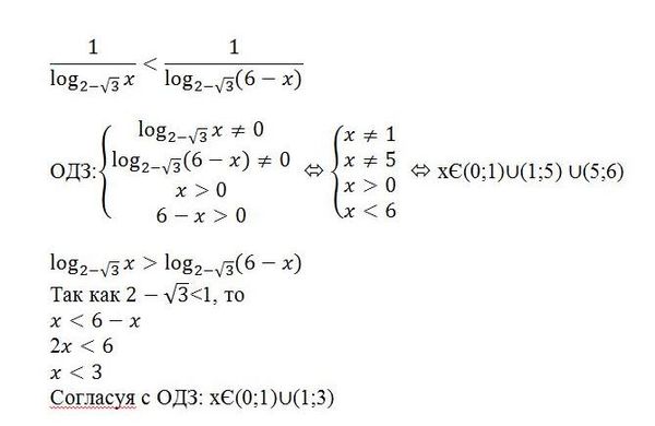
Решите неравенство 1/(log(2-sqrt(3))⁡x) < 1/(log(2-sqrt(3))(6-x))

математика 10-11 класс 3884

Решение



Ответ: (0;1)∪(1;3)

Вопросы к решению (1)

Написать комментарий

Меню

Присоединяйся в ВК