Задать свой вопрос
*более 50 000 пользователей получили ответ на «Решим всё»
Задача 8462
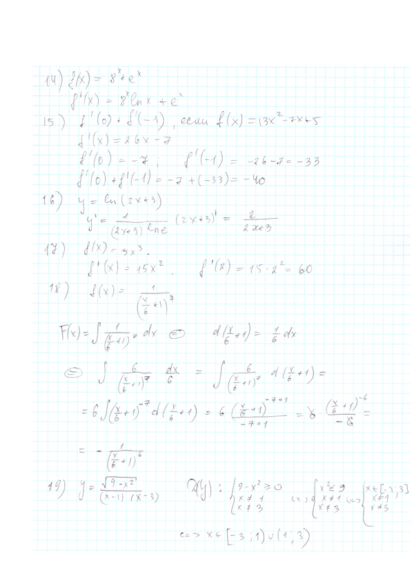
14) Найти производную f(x) = 8^x+e^x 15)...
Условие
Leman
10.04.2016
14) Найти производную f(x) = 8^x+e^x
15) f'(0)+f'(-1), если f(x) = 13x^2-7x+5
16-21) ...
математика ВУЗ
1517
Решение
AlenaReshetnikova
11.04.2016
★
Написать комментарий
Меню
Решим всё
Найти задачу
Категории
Статьи
Тесты
Архив задач
Присоединяйся в ВК