Задать свой вопрос   *более 50 000 пользователей получили ответ на «Решим всё»

Задача 8454 а) Решите уравнение...

Условие

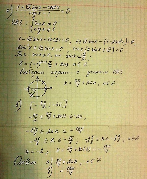
а) Решите уравнение (1+sqrt(2)sinx-cos2x)/(ctgx-1)=0
б) Найдите корни этого уравнения, принадлежащие отрезку [-9Pi/2; -3Pi]

математика 10-11 класс 7358

Решение

О т в е т.
а)x= –π/4+2π·n, n ∈ Z.
б)–17π/4∈[-9π/2;-3π]

Все решения

13)а)x=-pi/4+2p*n
б)-17pi/4

Написать комментарий

Меню

Присоединяйся в ВК