Задать свой вопрос   *более 50 000 пользователей получили ответ на «Решим всё»

Задача 8449 Решите неравенство...

Условие

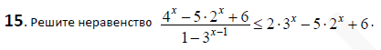
Решите неравенство (4^x-5*2^x+6)/(1-3^(x-1)) меньше или равно 2*3^x-5*2^x+6

математика 10-11 класс 29005

Решение

Замена переменной
2^(x)=t; 4^(x)=t²; 3^(x)=u. 1-3^(x-1)=1-((3^(x))/3)=1-(u/3)

(t²-5t+6-(2u-5t+6)(1-(u/3)))/(1-(u/3))<=0

(t²-5t+6-2u+5t-6+(2u²/3)-((5ut)/3)+2u)/(1-(u/3)<=0

(t²+(2u²/3)-((5ut)/3))/(1-(u/3)<=0

Числитель разложим на множители как квадратный трехчлен относительно переменной t
at²+bt+c=a(t-t₁)(t-t₂)

t²-((5u)/3)t+(2u²/3)=0
D=(25u²/9)-4*((2u²/3)=(25u²/9)-4*((6u²/9)=u²/9

t₁= (((5u)/3)-(u/3))/2=2u/3 t₂=(((5u)/3)+(u/3))/2=u

t²-((5u)/3)t+(2u²/3)=(t-(2u/3))(t-u)

Решаем неравенство
(2^(x)-2*3^(x-1))(2^(x)-3^(x))/(1- 3^(x-1)) <=0

Неравенство сводится к четырем системам.
1) 1 - 3^(x-1)>0
2^(x)-2*3^(x-1)<=0
2^(x)-3^(x)>=0

х<1
x>=1
x ≤ 0

система не имеет решений.

2)1 - 3^(x-1)>0
2^(x)-2*3^(x-1)>=0
2^(x)-3^(x)<=0
x<1
x<=1
x ≥ 0

решение системы
[b]0 ≤ x<1[/b]

3)1 - 3^(x-1)<0
2^(x)-2*3^(x-1)>=0
2^(x)-3^(x) ≥ 0

x>1
x<=1
x ≤ 0

система не имеет решений

4)1 - 3^(x-1)>0
2^(x)-2*3^(x-1) ≤ 0
2^(x)-3^(x) ≥ 0

х>1
x>=1
x ≤ 0

нет решений

[blue]О т в е т. [0;1)[/blue]

Вопросы к решению (1)

Все решения

[0;1)а так же (1;+бесконечность)

Написать комментарий

Меню

Присоединяйся в ВК