Задать свой вопрос
*более 50 000 пользователей получили ответ на «Решим всё»
Задача 8341
...
Условие
Julia_Trusova
04.04.2016
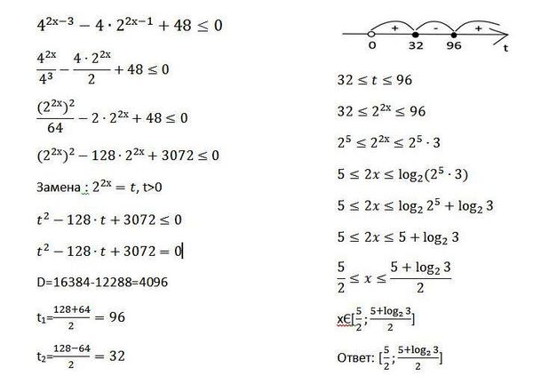
Решите неравенство 4^(2x-3)-4*2^(2x-1)+48 ≤ 0
математика 10-11 класс
15639
Решение
Ответ:
[5/2;(5+log_23)/2]
Написать комментарий
Меню
Решим всё
Найти задачу
Категории
Статьи
Тесты
Архив задач
Присоединяйся в ВК