Задать свой вопрос   *более 50 000 пользователей получили ответ на «Решим всё»

Задача 8333 ...

Условие

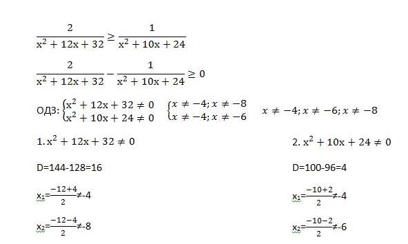
Решите неравенство 2/(x^2+12x+32) ≥ 1/(x^2+10x+24)

математика 10-11 класс 10692

Решение



Ответ: (-∞;-8)∪(-6;-4) ∪(-4;+ ∞)

Вопросы к решению (1)

Все решения

Написать комментарий

Меню

Присоединяйся в ВК