Задать свой вопрос   *более 50 000 пользователей получили ответ на «Решим всё»

Задача 8331 ...

Условие

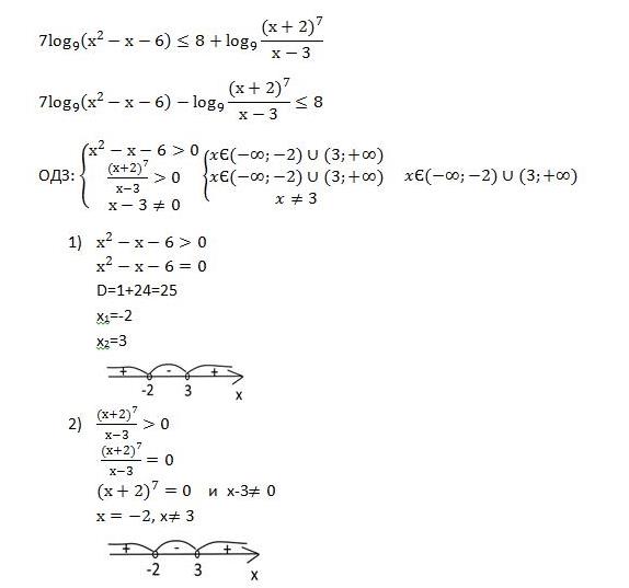
Решите неравенство 7log9⁡(х^2-х-6)≤8+log9⁡(х+2)^7/(х-3)

математика 10-11 класс 23335

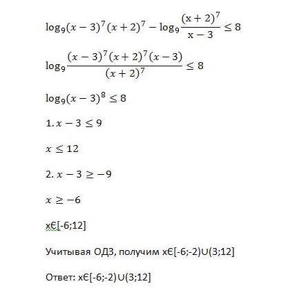
Решение



Ответ: [-6;-2)∪(3;12]

Вопросы к решению (2)

Все решения

Написать комментарий

Меню

Присоединяйся в ВК