Задать свой вопрос   *более 50 000 пользователей получили ответ на «Решим всё»

Задача 8329 Решите неравенство...

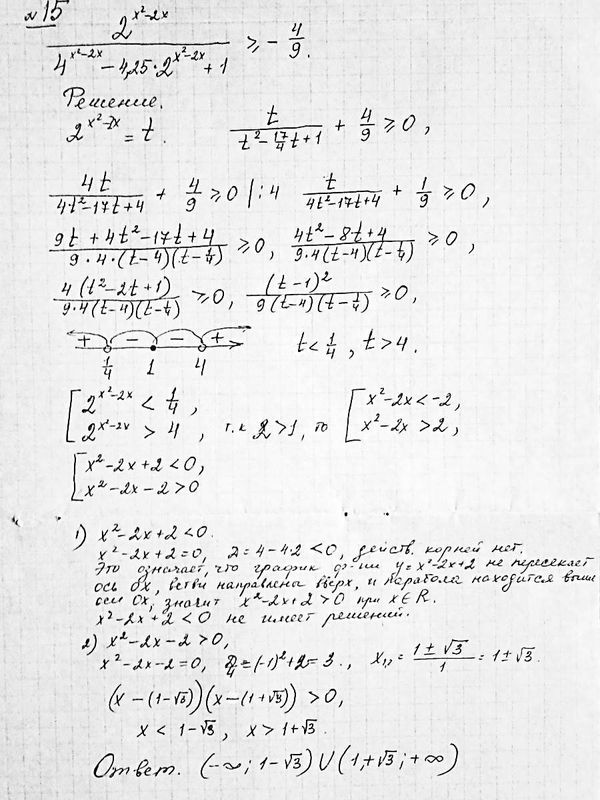
Условие

Решите неравенство (2^(x^2-2x))/(4^(x^2-2x)-4,25*2^(x^2-2x)+1) больше или равно -4/9

математика 10-11 класс 5636

Решение

Вопросы к решению (1)

Написать комментарий

Меню

Присоединяйся в ВК