Задать свой вопрос   *более 50 000 пользователей получили ответ на «Решим всё»

Задача 80821 Решение...

Условие

Решение

математика 10-11 класс 36

Решение

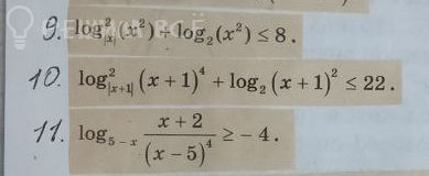
9. [m]\log^2_{|x|} (x^2) + \log_2 (x^2) ≤ 8[/m]
Область определения функции логарифма:
{ x^2 > 0
{ |x| ≠ 0; |x| ≠ 1
x ∈ (-oo; -1) U (-1; 0) U (0; 1) U (1; +oo)
Заметим, что [m]\log_{|x|} (x^2) = 2\log_{|x|} (|x|) = 2[/m], поэтому [m]\log^2_{|x|} (x^2) = 4[/m]
[m]4 + \log_2 (x^2) ≤ 8[/m]
[m]\log_2 (x^2) ≤ 4[/m]
[m]x^2 ≤ 2^4[/m]
[m]x^2 ≤ 16[/m]
[m]|x| ≤ 4[/m]
Решение: x ∈ [-4; 4]
С учетом области определения:
Ответ: x ∈ [-4; -1) U (-1; 0) U (0; 1) U (1; 4]

10. [m]\log^2_{|x+1|} (x+1)^4 + \log_2 (x+1)^2 ≤ 22[/m]
Область определения функции логарифма:
{ (x+1)^2 > 0
{ |x+1| ≠ 0; |x+1| ≠ 1
x ∈ (-oo; -2) U (-2; -1) U (-1; 0) U (0; +oo)
Заметим, что [m]\log_{|x+1|} (x+1)^4 = 4\log_{|x+1|} (|x+1|) = 4[/m], поэтому [m]\log^2_{|x+1|} (x+1)^4 = 16[/m]
[m]16 + \log_2 (x+1)^2 ≤ 22[/m]
[m]\log_2 (x+1)^2 ≤ 6[/m]
[m](x+1)^2 ≤ 64[/m]
[m]|x+1| ≤ 8[/m]
Решение: x ∈ [-9; 7]
С учетом области определения:
Ответ: x ∈ [-9; -2) U (-2; -1) U (-1; 0) U (0; 7]

11. [m]\log_{5-x} \frac{x+2}{(x-5)^4} ≥ -4[/m]
Область определения функции логарифма:
{ x + 2 > 0
{ 5 - x > 0; 5 - x ≠ 1
Мы можем так написать, потому что (x - 5)^4 > 0 при любом x ≠ 5.
И еще, (x - 5)^4 = (5 - x)^4
x ∈ (-2; 4) U (4; 5)
Как известно, логарифм дроби равен разности логарифмов:
[m]\log_{5-x} (x+2) - \log_{5-x} (5-x)^4 ≥ -4[/m]
[m]\log_{5-x} (x+2) - 4 ≥ -4[/m]
[m]\log_{5-x} (x+2) ≥ 0[/m]
Применим известное свойство логарифмов:
[m]\large \log_{a} (b) = \frac{\log_{c} (b)}{\log_{c} (a)}[/m]
Причем новое основание с имеет только два ограничения: c > 0; c ≠ 1.
Можно взять, например, с = 10 и перейти к десятичным логарифмам.
[m]\frac{\lg (x+2)}{\lg (5-x)} ≥ 0[/m]
Это неравенство распадается на две системы:
1)
{ lg (x + 2) ≤ 0
{ lg (5 - x) < 0
Решаем:
{ x + 2 ∈ (0; 1]
{ 5 - x ∈ (0; 1)
Получаем:
{ x ∈ (-2; -1]
{ x ∈ (4; 5)
Промежутки не пересекаются, значит, в этом варианте решений нет.

2)
{ lg (x + 2) ≥ 0
{ lg (5 - x) > 0
Решаем:
{ x + 2 ∈ [1; +oo)
{ 5 - x ∈ (-oo; 5)
Получаем:
x ∈ [1; 5)
С учетом области определения:
Ответ: x ∈ [1; 4) U (4; 5)

Написать комментарий

Меню

Присоединяйся в ВК