Задать свой вопрос
*более 50 000 пользователей получили ответ на «Решим всё»
Задача 80812
...
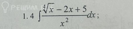
Условие
69a51f9cae306a52f7b93209
3/2/2026 5:27:05 AM
30
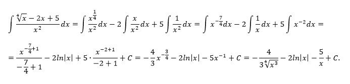
Решение
5f3eaa23faf909182968dde0
3/2/2026 7:24:02 AM
★
Написать комментарий
Меню
Решим всё
Найти задачу
Категории
Статьи
Тесты
Архив задач
Присоединяйся в ВК