Задать свой вопрос   *более 50 000 пользователей получили ответ на «Решим всё»

Задача 80802 Найти опорное решение системы линейных...

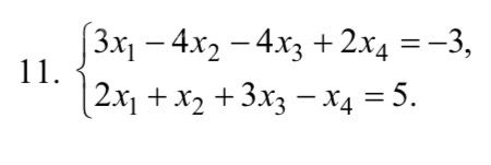
Условие

Найти опорное решение системы линейных уравнений
методом искусственного базиса.

математика ВУЗ 61

Решение

Ответ ИИ

выполним по «методу искусственного базиса» (двухфазному
симплекс-методу).

1. Приводим систему к каноническому виду, добавив по одной
искусственной переменной в каждое уравнение:

3x₁ – 4x₂ – 4x₃ + 2x₄ + y₁ = –3,
2x₁ + x₂ + 3x₃ – x₄ + y₂ = 5.

Переменные y₁ , y₂ ≥ 0 образуют первоначальный базис.

2. Начальное базисное решение

x = 0, y₁ = –3, y₂ = 5

невыполнимо для I-й фазы (y₁ < 0).
Поэтому делаем ряд поворотов (переходов), постепенно выводя
искусственные переменные из базиса.

3. Первый поворот
берём x₁ вместо y₁ (ведущим элементом делаем коэффициент 3):

x₁ – 4/3 x₂ – 4/3 x₃ + 2/3 x₄ + 1/3 y₁ = –1.

4. Устраняем x₁ из второго уравнения:

(11/3) x₂ + (17/3) x₃ – (7/3) x₄ – 2/3 y₁ + y₂ = 7.

5. Второй поворот
делаем базисной переменной x₂ (делим строку на 11/3):

x₂ + 17/11 x₃ – 7/11 x₄ – 2/11 y₁ + 3/11 y₂ = 21/11.

6. Устраняем x₂ из первой строки:

x₁ + 8/11 x₃ – 2/11 x₄ + 1/11 y₁ + 4/11 y₂ = 17/11.

7. Полученный базис: x₁ , x₂ .
Искусственные переменные y₁ , y₂ в обеих строках имеют нулевые
коэффициенты, поэтому их можно вывести из решения,
положив y₁ = y₂ = 0, а также положив небазисные переменные
x₃ = x₄ = 0.

8. Опорное (базисное) решение исходной системы:

x₁ = 17/11,
x₂ = 21/11,
x₃ = 0,
x₄ = 0.

Подставляя, убеждаемся:

3·17/11 – 4·21/11 – 4·0 + 2·0 = –3,
2·17/11 + 1·21/11 + 3·0 – 0 = 5.

Следовательно, методом искусственного базиса найдено опорное
(базисное) решение

(x₁ , x₂ , x₃ , x₄) = (17/11 , 21/11 , 0 , 0).

Написать комментарий

Меню

Присоединяйся в ВК