Задать свой вопрос
*более 50 000 пользователей получили ответ на «Решим всё»
Задача 80795
Помогите, пожалуйста, с решением...
Условие
6907d384ff691a44b71fa6a5
2/24/2026 12:20:47 PM
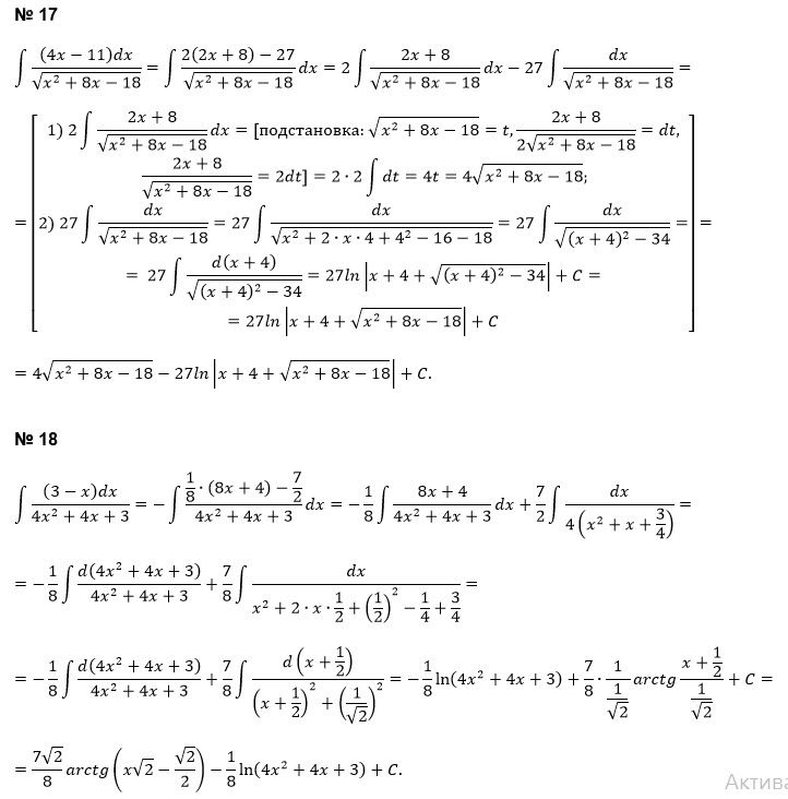
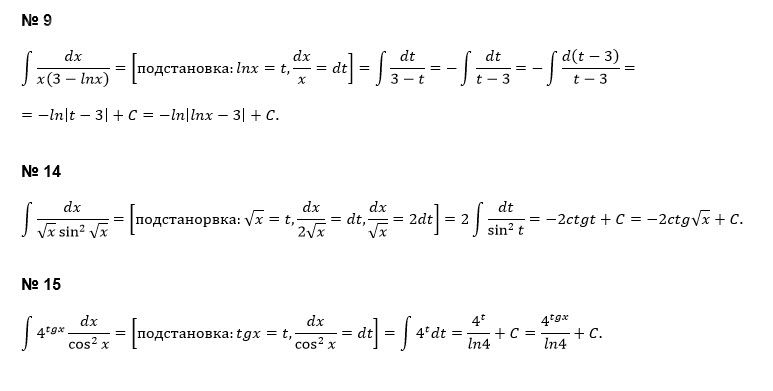
Помогите, пожалуйста, с решением итеграллов из I раздела под номерами: 9),14),15),17),18)
математика ВУЗ
55
Решение
5f3eaa23faf909182968dde0
2/24/2026 3:14:31 PM
★
Написать комментарий
Меню
Решим всё
Найти задачу
Категории
Статьи
Тесты
Архив задач
Присоединяйся в ВК