Задать свой вопрос
*более 50 000 пользователей получили ответ на «Решим всё»
Задача 80791
Решите, пожалуйста, под VII примеры с 3...
Условие
6907d384ff691a44b71fa6a5
2/19/2026 10:42:04 PM
Решите, пожалуйста, под VII примеры с 3 по 5 подробно
математика ВУЗ
35
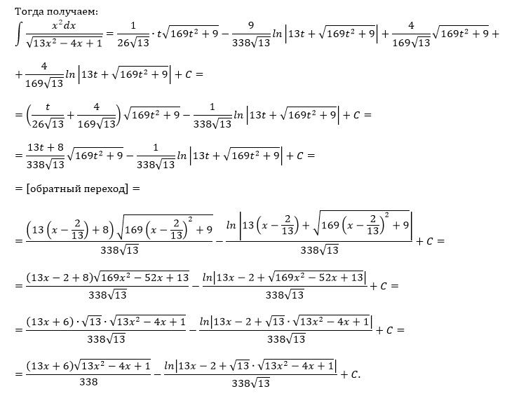
Решение
5f3eaa23faf909182968dde0
2/22/2026 2:09:54 PM
★
Написать комментарий
Меню
Решим всё
Найти задачу
Категории
Статьи
Тесты
Архив задач
Присоединяйся в ВК