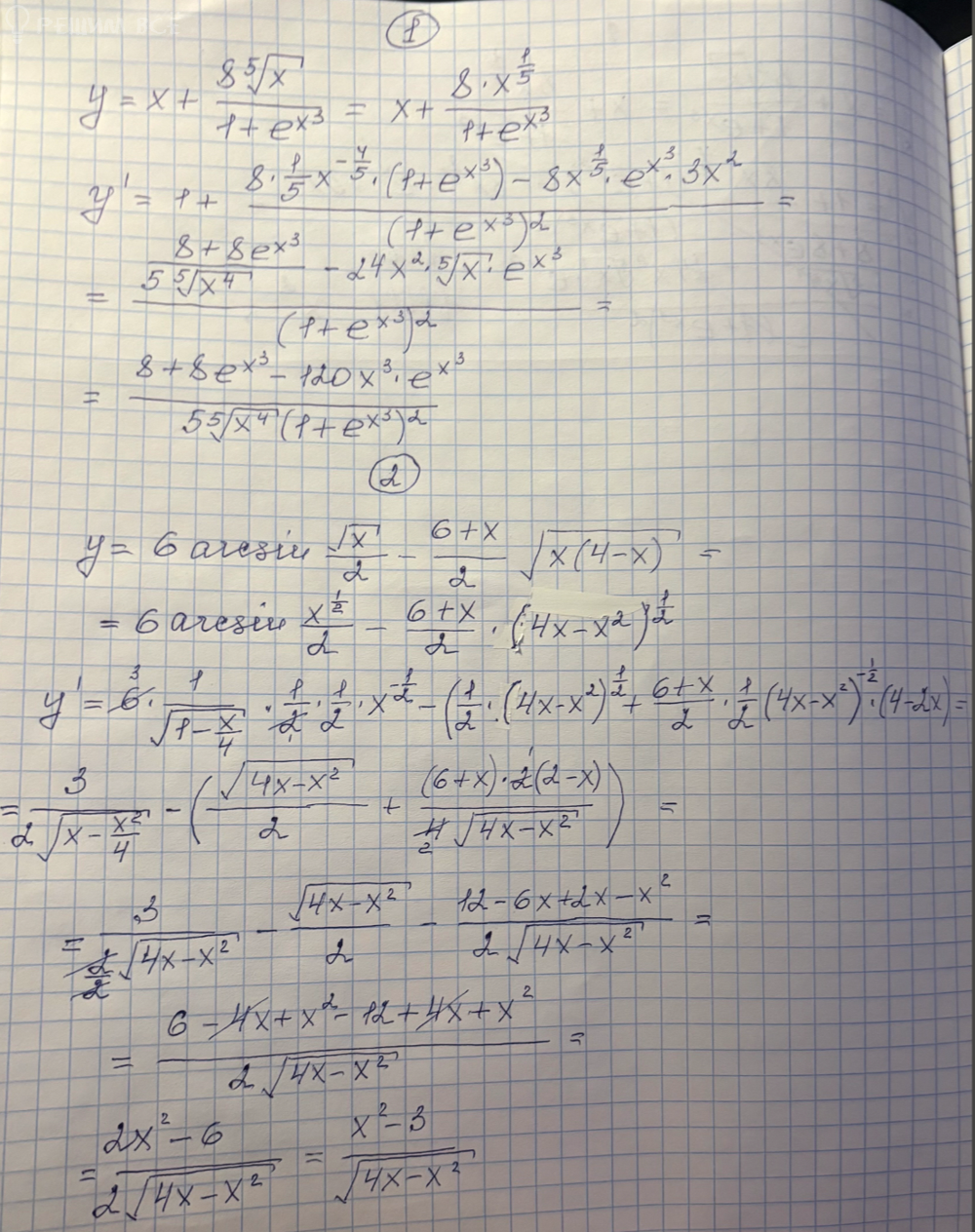
1) y=x+8*5√x/1+e^x^3
2) y= 6arcsin*√x/2 - 6+x/2 * √x(4-x)
Найдите производные y'x и y''xx от функции заданной параметрически:
x=cos^2 t
y= tg^2 t



1) y = x + 8 ⁵√x / ( 1 + e^{x^{3}} )
Представим ⁵√x = x^{1/5}.
y = x + g(x), g(x)= 8 x^{1/5}(1+e^{x^{3}})^{-1}.
g′(x) (правило произведения/частного):
g′(x)=8[(1/5)x^{-4/5}(1+e^{x^{3}})^{-1} − x^{1/5}(1+e^{x^{3}})^{-2}(e^{x^{3}}\·3x^{2})]
= 8[ 1/5 · x^{-4/5}/(1+e^{x^{3}}) − 3x^{11/5}e^{x^{3}}/(1+e^{x^{3}})^{2} ].
Отсюда
y′(x)=1+g′(x)=1+ 8[ (1/5)x^{-4/5}/(1+e^{x^{3}}) − 3x^{11/5}e^{x^{3}}/(1+e^{x^{3}})^{2} ].
(Можно раскрыть число 8: y′=1+8/5·x^{-4/5}/(1+e^{x^{3}})−24x^{11/5}e^{x^{3}}/(1+e^{x^{3}})^{2}.)
2) y = 6 arcsin(√x /2) − (6+x)/2·√[x(4−x)]
а) Первая часть
u(x)=6 arcsin(√x/2).
z=√x/2 ⇒ dz/dx =1/(4√x).
u′(x)=6· 1/√(1−z^{2})·dz/dx
=6 /(√(1−x/4)·4√x)= 3 /(2√x√(1−x/4))
= 3 / √(x(4−x)).
б) Вторая часть (правило произведения)
v(x)=−½(6+x)·√[x(4−x)],
w=6+x, r=√[x(4−x)], w′=1,
r(x)=(x(4−x))^{1/2} ⇒ r′=(2−x)/√[x(4−x)].
v′(x)=−½[ w′r + w r′ ]
=−½[ √{x(4−x)} + (6+x)(2−x)/√{x(4−x)} ]
=− (6−x^{2}) / √{x(4−x)}.
в) Складываем:
y′(x)= 3 /√{x(4−x)} − (6−x^{2}) /√{x(4−x)}
= (x^{2}−3) / √{x(4−x)}.
II. Параметрически заданная кривая
x = cos²t, y = tg²t
1-я производная dy/dx.
dx/dt = 2cos t(−sin t)= −sin2t = −2sin t cos t.
dy/dt = 2tg t ·sec²t = 2 sin t /cos³t.
dy/dx = (dy/dt)/(dx/dt) = (2 sin t /cos³t)/ (−2 sin t cos t)
= −1/ cos⁴t = −sec⁴t.
С учётом x = cos²t (⇒ cos⁴t = x²):
dy/dx = −1/x².
2-я производная d²y/dx².
Сначала d/dt(dy/dx):
d/dt(−sec⁴t)= −4sec⁴t tan t.
Тогда
d²y/dx² = [d/dt(dy/dx)] / (dx/dt)
= (−4sec⁴t tan t)/(−2 sin t cos t)
= 2sec⁴t tan t /(sin t cos t).
tan t = sin t /cos t, sec⁴t = 1/ cos⁴t ⇒
d²y/dx² = 2 /cos⁶t.
Но cos⁶t = (cos²t)³ = x³, поэтому
d²y/dx² = 2 / x³.
Итоги
1) y′(x)=1+8[ (1/5)x^{-4/5}/(1+e^{x^{3}}) − 3x^{11/5}e^{x^{3}}/(1+e^{x^{3}})^{2} ].
2) y′(x)= (x²−3)/√{x(4−x)}.
Параметрическая функция:
dy/dx = −1/x², d²y/dx² = 2/x³.
Производна суммы равна сумме производных.
Производная дроби:
[m]\large \Big ( \frac{f(x)}{g(x)} \Big )' = \frac{f'(x) g(x) - f(x) g'(x)}{g^2(x)}[/m]
Подставляем:
[m]\large y' = 1 + \frac{8/5 x^{-4/5}(1 + e^{x^3}) - 8x^{1/5} \cdot e^{x^3} \cdot 3x^2}{(1 + e^{x^3})^2} = [/m]
[m]\large 1 + \frac{8/5 x^{-4/5}(1 + e^{x^3}) - 24x^{11/5} \cdot e^{x^3}}{(1 + e^{x^3})^2}[/m]
2) [m]\large y = 6arcsin\ \frac{\sqrt{x}}{2} - \frac{6 + x}{2} \cdot \sqrt{x(4-x)} = [/m]
[m]\large = 6arcsin\ \frac{\sqrt{x}}{2} - \frac{6 + x}{2} \cdot \sqrt{4x - x^2}[/m]
Здесь лучше взять производные по частям.
[m]\large (arcsin\ f(x))' = \frac{1}{\sqrt{1 - f^2(x)}} \cdot f'(x)[/m]
Производная от произведения:
[m](f(x) \cdot g(x))' = f'(x) g(x) + f(x) g'(x)[/m]
Подставляем:
[m]y' = \frac{6}{1 - x/4} \cdot \frac{1}{4\sqrt{x}} - \Big ( \frac{1}{2} \sqrt{4x - x^2} + \frac{6 + x}{2} \cdot \frac{1}{2\sqrt{4x - x^2}} (4 - 2x) \Big ) =[/m]
[m]\large = \frac{24}{4 - x} \cdot \frac{1}{4\sqrt{x}} - \frac{\sqrt{4x - x^2}}{2} - \frac{(6+x)(4 - 2x)}{4\sqrt{4x - x^2}} =[/m]
[m]\large = \frac{6}{(4 - x)\sqrt{x}} - \frac{\sqrt{4x-x^2}}{2} - \frac{(6+x)(4 - 2x)}{4\sqrt{4x - x^2}}[/m]
3) [m]\begin{cases}
x = \cos^2 t \\
y = tg^2\ t \\
\end{cases}[/m]
Производная от функции, заданной параметрически:
[m]\large \frac{dy}{dx} = \frac{dy}{dt} : \frac{dx}{dt}[/m]
[m]\large \frac{dy}{dt} = 2tg\ t \cdot \frac{1}{\cos^2 t} = \frac{2\sin t}{\cos t} \cdot \frac{1}{\cos^2 t} = \frac{2 \sin t}{\cos^3 t}[/m]
[m]\large \frac{dx}{dt} = 2 \cos t (-\sin t) = -2 \cos t \sin t[/m]
[m]\large \frac{dy}{dx} = \frac{2 \sin t}{\cos^3 t} : (-2 \cos t \sin t) = -\frac{1}{\cos^4 t}[/m]
Теперь надо найти вторую производную [m]\large \frac{d^2y}{dx^2}[/m] по формуле:
[m]\large \frac{d^2y}{dx^2} = \Big ( \frac{dy}{dx} \Big )'_{t} : \frac{dx}{dt}[/m]
[m]\Big ( \frac{dy}{dx} \Big )'_{t} = (-\frac{1}{\cos^4 t})'_{t} = (-\cos^{-4} t)'_{t} = -(-4)\cos^{-5} t (-\sin t) = -\frac{4\sin t}{\cos^5 t}[/m]
[m]\large \frac{d^2y}{dx^2} = (-\frac{4\sin t}{\cos^5 t}) : (-2 \cos t \sin t) = \frac{2}{\cos^6 t}[/m]