Задать свой вопрос
*более 50 000 пользователей получили ответ на «Решим всё»
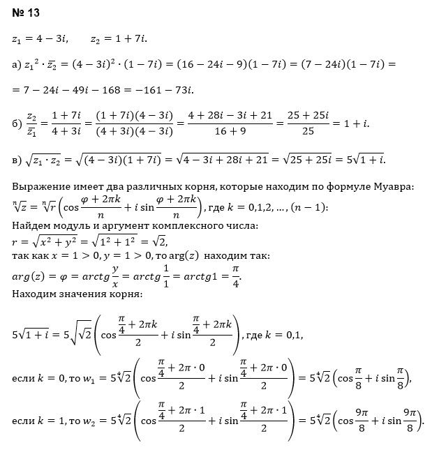
Задача 80786
комплексные числа. решить 13 задание ...
Условие
658677fcf6f382387af6dca2
2/19/2026 10:39:13 PM
комплексные числа. решить 13 задание
математика ВУЗ
61
Решение
5f3eaa23faf909182968dde0
2/21/2026 2:58:42 PM
★
Написать комментарий
Меню
Решим всё
Найти задачу
Категории
Статьи
Тесты
Архив задач
Присоединяйся в ВК