Задать свой вопрос
*более 50 000 пользователей получили ответ на «Решим всё»
Задача 80783
Помогите решить задание на интеграллы,...
Условие
6907d384ff691a44b71fa6a5
2/19/2026 9:09:30 PM
Помогите решить задание на интеграллы, пожалуйста.
Под II номера - 2,3,4,5
математика ВУЗ
40
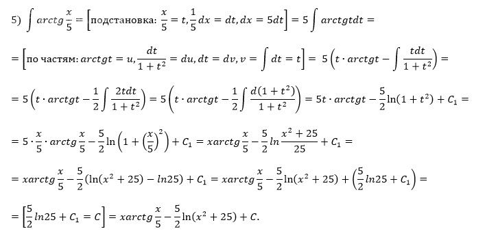
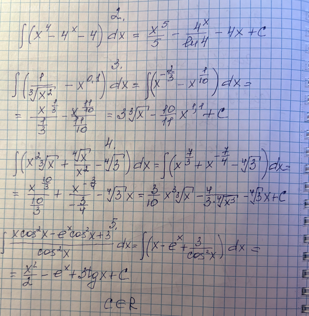
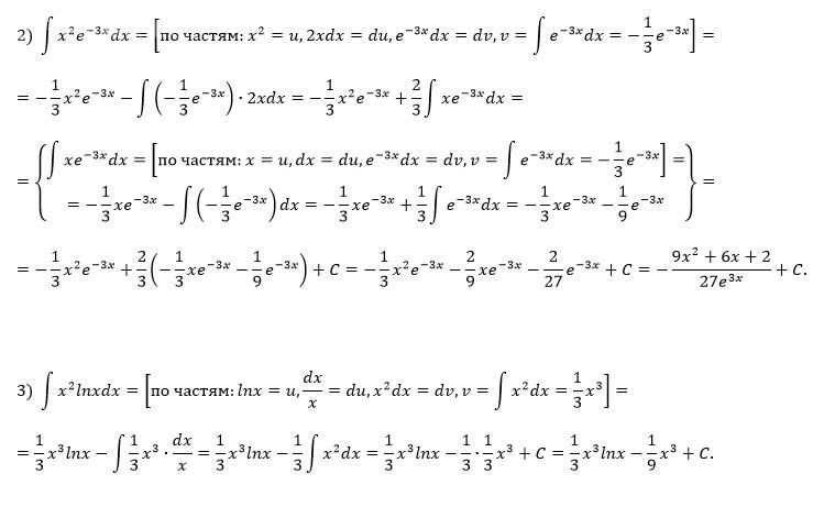
Решение
5f3eaa23faf909182968dde0
2/20/2026 4:58:58 PM
★
Все решения
692ecb44a0211e4a1fadc32d
2/20/2026 11:15:28 AM
Написать комментарий
Меню
Решим всё
Найти задачу
Категории
Статьи
Тесты
Архив задач
Присоединяйся в ВК