Задать свой вопрос
*более 50 000 пользователей получили ответ на «Решим всё»
Задача 80748
Найти вторую производную, точку...
Условие
697f543fca02e81d6ad1cacb
2/1/2026 1:25:33 PM
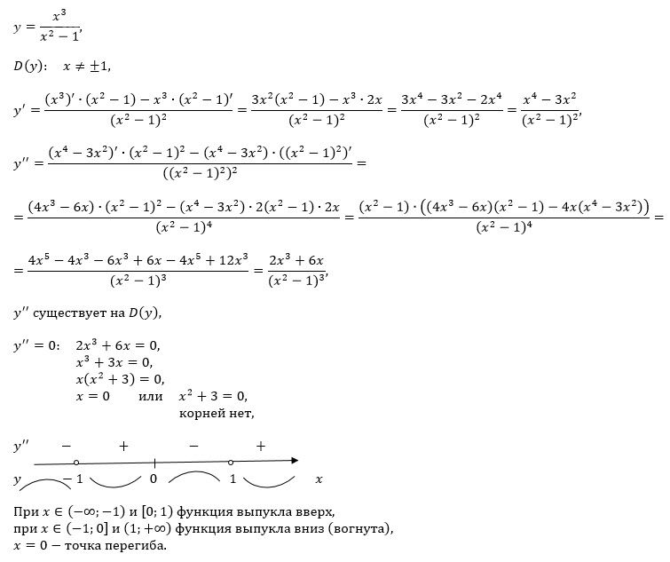
Найти вторую производную, точку перегиба, вогнутую и выгнутую функции y = (x^3)/(x^2-1)
математика колледж
51
Решение
5f3eaa23faf909182968dde0
2/1/2026 3:41:59 PM
★
Написать комментарий
Меню
Решим всё
Найти задачу
Категории
Статьи
Тесты
Архив задач
Присоединяйся в ВК