Задать свой вопрос
*более 50 000 пользователей получили ответ на «Решим всё»
Задача 80735
Иррациональные уравнения с заменой...
Условие
6941e6e2fc938919023f43d3
1/27/2026 12:09:59 PM
Иррациональные уравнения с заменой переменной
математика 10-11 класс
58
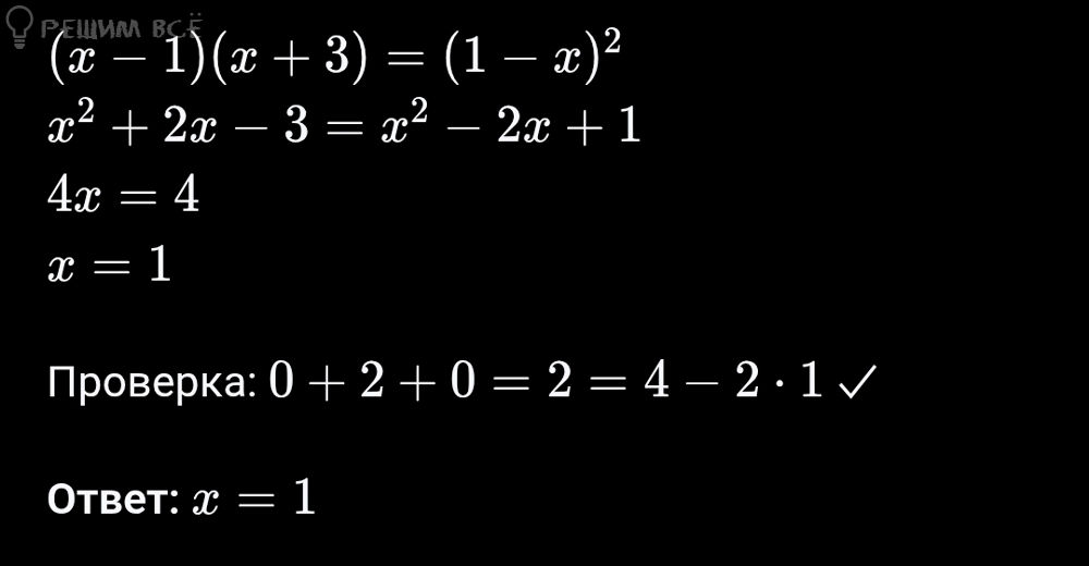
Решение
675fe0ac81699f399ffe47ad
1/27/2026 12:35:40 PM
★
Написать комментарий
Категория
Алгебраические уравнения и неравенства и их системы
Иррациональные уравнения и неравенства
Меню
Решим всё
Найти задачу
Категории
Статьи
Тесты
Архив задач
Присоединяйся в ВК