Задать свой вопрос
*более 50 000 пользователей получили ответ на «Решим всё»
Задача 80733
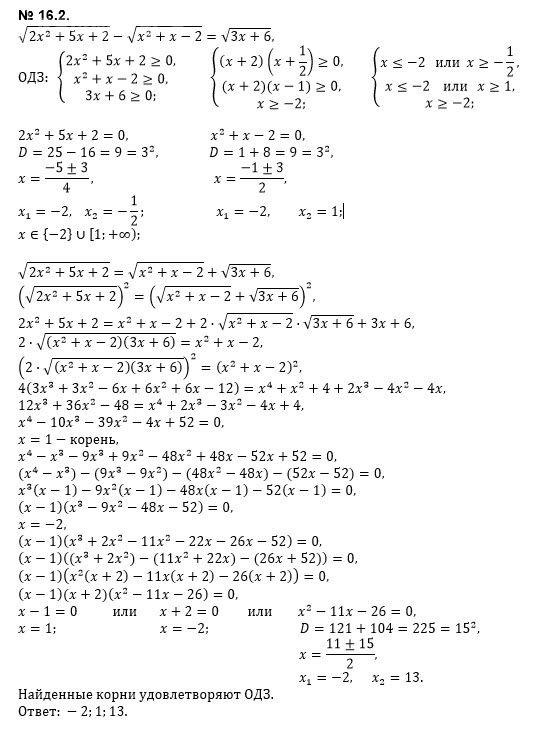
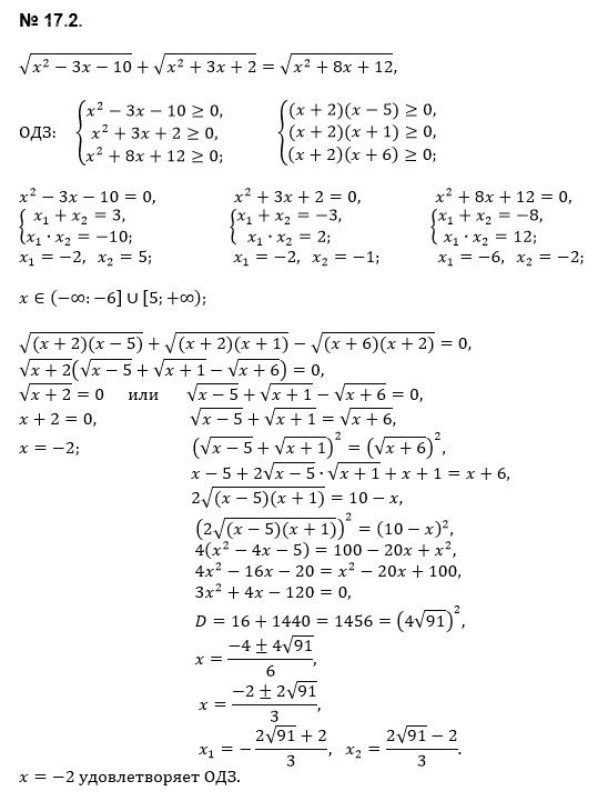
Помогите решить уравнения по алгебре...
Условие
69414df2fc938919023f4357
1/26/2026 2:25:36 PM
Помогите решить уравнения по алгебре
математика 10-11 класс
44
Решение
5f3eaa23faf909182968dde0
1/26/2026 3:56:19 PM
★
Написать комментарий
Меню
Решим всё
Найти задачу
Категории
Статьи
Тесты
Архив задач
Присоединяйся в ВК