Задать свой вопрос
*более 50 000 пользователей получили ответ на «Решим всё»
Задача 80732
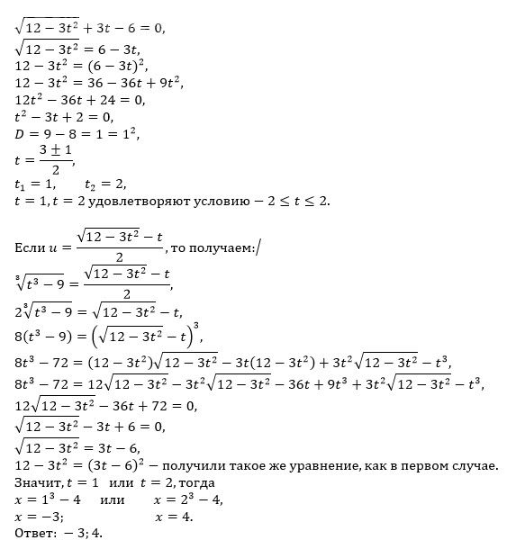
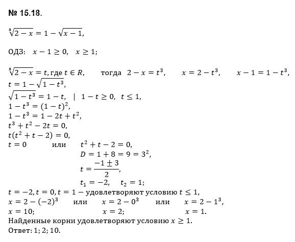
Помогите решить уравнения по алгебре. ...
Условие
69414df2fc938919023f4357
1/25/2026 1:29:53 PM
Помогите решить уравнения по алгебре.
математика 10-11 класс
62
Решение
5f3eaa23faf909182968dde0
1/26/2026 3:57:51 AM
★
Написать комментарий
Меню
Решим всё
Найти задачу
Категории
Статьи
Тесты
Архив задач
Присоединяйся в ВК