Задать свой вопрос
*более 50 000 пользователей получили ответ на «Решим всё»
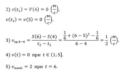
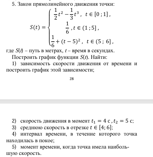
Задача 80731
решите задачу пожалуйста...
Условие
697145b46cbca80aac084fa6
1/21/2026 9:32:15 PM
решите задачу пожалуйста
ВУЗ
54
Решение
5f3eaa23faf909182968dde0
1/22/2026 7:37:57 AM
★
Написать комментарий
Меню
Решим всё
Найти задачу
Категории
Статьи
Тесты
Архив задач
Присоединяйся в ВК